东北地理所在长期有机无机配施对黑土磷库影响的微生物机制研究取得新进展
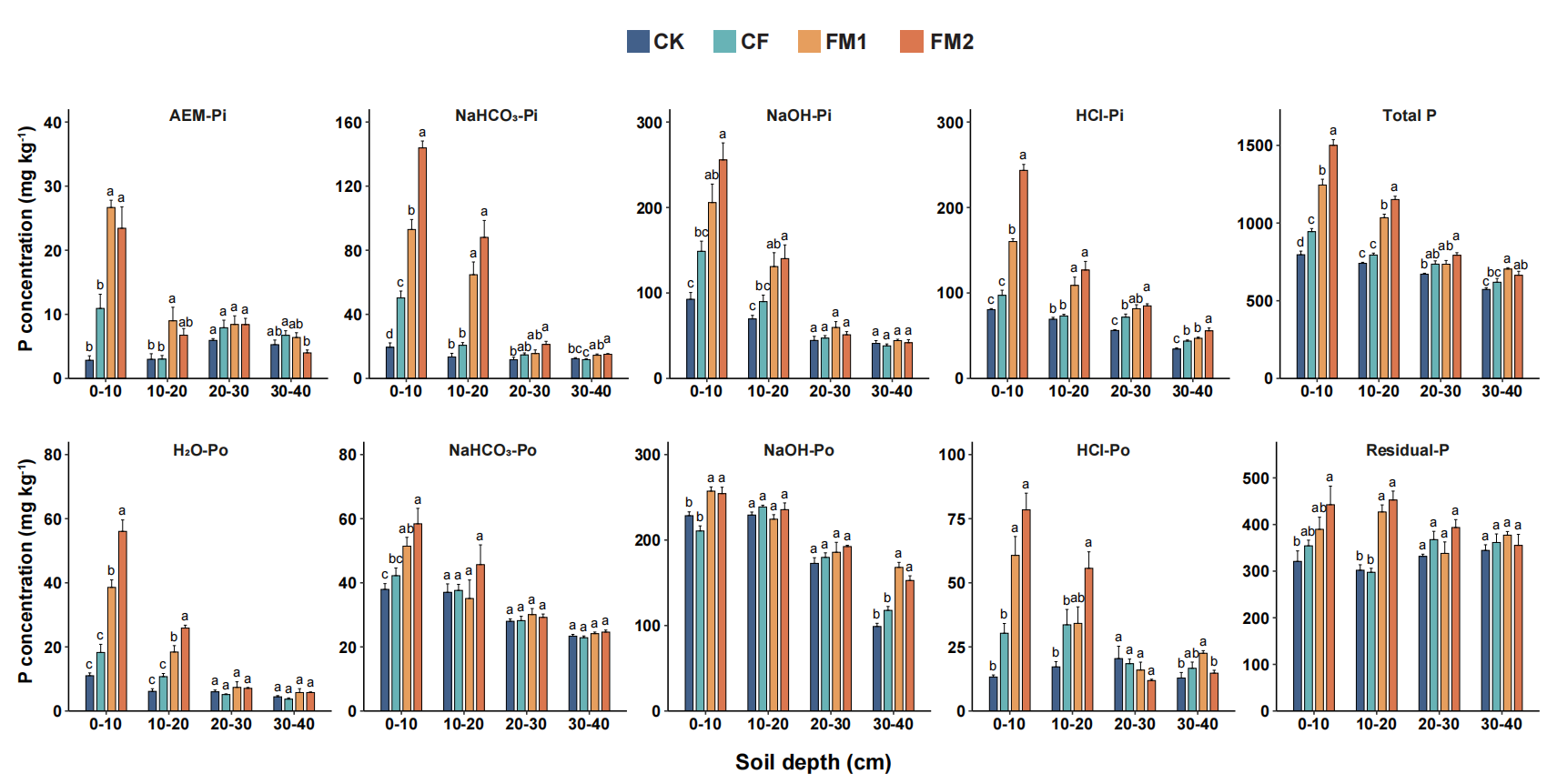
磷是作物生长必需的营养元素,通过施肥措施提高土壤磷有效性对保障粮食安全至关重要。然而,长期单一施用化肥往往导致土壤生态功能退化。虽然有机肥配施化肥已被证实能改善土壤质量,但关于长期有机无机配施如何驱动黑土(0-40 cm)磷组分转化及其微生物学机制尚不清楚。研究人员选取了长期定位试验不施肥(CK)、单施化(CF)以及化肥配施不同量牛粪有机肥(FM1, FM2)处理,系统分析了0-40 cm土层土壤磷组分(Hedley-P)及磷循环功能基因的变化特征。结果表明:相比单施化肥,增施牛粪显著提高了0-20 cm土层中不同磷组分含量,包括活性磷(AEM-Pi, NaHCO3-Pi, H2O-Po, NaHCO3-Po)、中度活性磷(NaOH-Pi, NaOH-Po)以及稳定性磷(HCl-Pi, HCl-Po, Residual-P)。研究表明,有机肥的投入不仅增加了当季磷素有效性,还显著提升了土壤磷库的长期储备能力(图1)。
不同施肥处理在不同土壤剖面下塑造了独特的磷相关微生物群落结构和网络特征。施用有机肥增加了无机磷溶解基因的相对丰度,尤其在0–10 cm和30–40 cm土层,同时降低了所有土层中磷饥饿基因丰度。单施化肥和化肥配施有机肥处理均提高了10–20 cm和30–40 cm土层中有机磷矿化基因的丰度。gcd基因的丰度与表层土壤中的无机磷溶解呈正相关,而ppk1、ppa和ppx基因丰度则与下层土壤中的无机磷溶解呈正相关。宏基因组组装(MAGs)构建结果表明,深层土壤更有潜力蕴藏参与磷循环的未知微生物谱系及功能基因,这不仅扩展了针对磷循环微生物多样性的认知,还表明深层土壤是新型微生物谱系和功能基因的储库,为筛选研究磷循环基因的潜在模式微生物提供了有价值的见解(图2)。研究结果提倡化肥配施有机肥以增强表层土壤中微生物对磷的活化,未来的研究应优先对深层土壤微生物类群进行功能验证,以完善可持续的磷管理策略。
相关研究成果发表于中国科学院一区TOP期刊Agriculture, Ecosystems & Environment,农田分子生态学科组于镇华副研究员(第一作者)和李彦生副研究员(通讯作者)等共同完成。研究得到了国家重点研发计划项目(2021YFD1500400,2021YFD1500803),中国科学院战略性先导科技专项(XDA28100200)以及中国科学院国际合作项目(131323KYSB20210004)联合资助。

图1 黑土剖面(0-40 cm)不同磷组分含量。不施肥(CK),单施化肥(CF),CF配施15 Mg ha-1牛粪有机肥(FM1),以及CF配施30 Mg ha-1牛粪有机肥(FM2)

图2 (A) 基于 GTDB-Tk 的重构高质量宏基因组组装基因组(MAGs)与参考基因组的系统发育树。(B) MAGs的相对丰度。(C) MAGs中鉴定的参与磷循环的基因拷贝数。
论文信息如下:
Zhenhua Yu, Changkai Liu, Xiaojing Hu, Mikhail Semenov, Junjie Liu, Jian Jin, Yuan Chen, Xingyi Zhang, Guanghua Wang, Xiaobing Liu, Yansheng Li*. Coupled shifts in phosphorus fractions and P-cycling genes driven by long-term cattle manure amendment across the 0–40 cm profile of a Mollisol. Agriculture, Ecosystems and Environment. 2026. 110279.
链接:
https://www.sciencedirect.com/science/article/pii/S0167880926000666
附件下载:
吉公网安备22017302000214号